-
Notifications
You must be signed in to change notification settings - Fork 30
Closed
Description
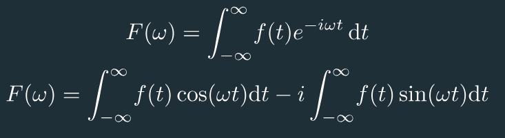
I would like to display integrals and products in display mode since they look much better when the limits are included. I don't think that this feature is currently available. One way would be supporting the \displaystyle command (https://www.overleaf.com/learn/latex/display_style_in_math_mode). This is how the package TikzPictures does it.
tp = TikzPicture(L"""
\node[align=center, below, white] {
$ \displaystyle F(\omega) = \int_{-\infty}^{\infty} \! f(t)e^{-i \omega t} \, \mathrm{d}t $\\\\
$ F(\omega) = \displaystyle\int_{-\infty}^{\infty} \! f(t)\cos(\omega t) \mathrm{d}t - i \int_{-\infty}^{\infty} \! f(t)\sin(\omega t) \mathrm{d}t $\\\\
};
""", options="transform shape, scale=2.5", preamble="")Metadata
Metadata
Assignees
Labels
No labels
