You signed in with another tab or window. Reload to refresh your session.You signed out in another tab or window. Reload to refresh your session.You switched accounts on another tab or window. Reload to refresh your session.Dismiss alert
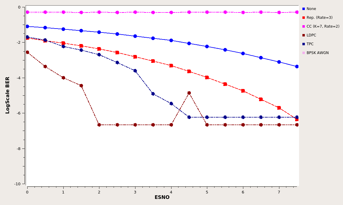
When running the ber_curve_gen.grc example in gr-fec, the convolutional coder results do not look right at all as compared to the graph produced in 3.7
Here is the graph produced under 3.8:
Under 3.7
The parameters for the objects in the .grc file all look the same between both
The text was updated successfully, but these errors were encountered:
It looks like the CC code fails. Besides, the curves seem to be correct. If the simulation would run for a couple more hours, I'd guess, those curves would look the same. I suggest to investigate, why the CC code fails. What about CC code tests? Do they pass?
When running the ber_curve_gen.grc example in gr-fec, the convolutional coder results do not look right at all as compared to the graph produced in 3.7
Here is the graph produced under 3.8:

Under 3.7

The parameters for the objects in the .grc file all look the same between both
The text was updated successfully, but these errors were encountered: