A compilation of random Python scripts and projects.
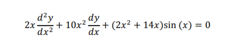
The FW_Euler_Method solvesd the followiong equation:
The trapezoid method returns a graph of the green area for different values of n. It calulates this using a trazepriod method with intervals of 0.01.

