kaggle-bikes
Kaggle Bike Sharing Demand competition code
Description:
Bike sharing systems are a means of renting bicycles where the process of obtaining membership, rental, and bike return is automated via a network of kiosk locations throughout a city. Using these systems, people are able rent a bike from a one location and return it to a different place on an as-needed basis. Currently, there are over 500 bike-sharing programs around the world.
The data generated by these systems makes them attractive for researchers because the duration of travel, departure location, arrival location, and time elapsed is explicitly recorded. Bike sharing systems therefore function as a sensor network, which can be used for studying mobility in a city. In this competition, participants are asked to combine historical usage patterns with weather data in order to forecast bike rental demand in the Capital Bikeshare program in Washington, D.C.
URL: https://www.kaggle.com/c/bike-sharing-demand
Run procedure.mat
In current version it is possible to run regression tree or linear regression.
In order to plot time series, set variable PLOT_TIMESERIES = 1
In order to observe the average hourly rentals for given months, set variable PLOT_MONTHS = 1
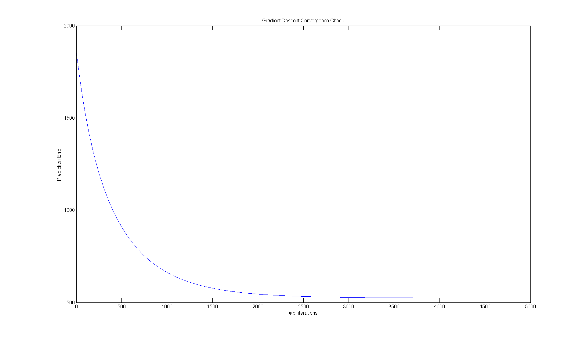
To select the vector of optimal weights theta, gradient descent has to run iteratively. In order to check whether the values converge, you have to set the variable CHECK_CONVERGENCE = 1.
The image below shows the convergence check for 5000 iterations for value alpha = 0.001.




