Skip to content

sanchezpipip/network

 
 

Folders and files

NameName
Last commit message
Last commit date

Latest commit

 

History

35 Commits
 
 
 
 
 
 
 
 
 
 
 
 
 
 

Repository files navigation

<script type="text/javascript" src="http://cdn.mathjax.org/mathjax/latest/MathJax.js?config=default"></script>

梯度下降参数更行规则

1.权重学习规则


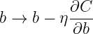
2.偏置学习规则


反向传播核心方程

1. 输出层误差向量的每个元素如下:


向量形式:


2. 使用下一层误差表示当前层误差


3. 代价函数关于偏置改变率:


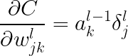
4. 代价函数关于权重改变率:


5. 交叉熵代价函数:


6. 柔性最大值:


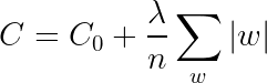
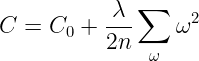
7. 规范化代价函数:

L2规范化(权重衰减)


此时权重学习规则变为(偏置不变):


L1规范化


About

No description, website, or topics provided.

Resources

Stars

Watchers

Forks

Releases

No releases published

Packages

No packages published

Languages

  • Python 100.0%