short alias lmurs
The original version of the NN Stat project was created by Waleed Khalid at the Computer Vision Laboratory, University of Würzburg, Germany.
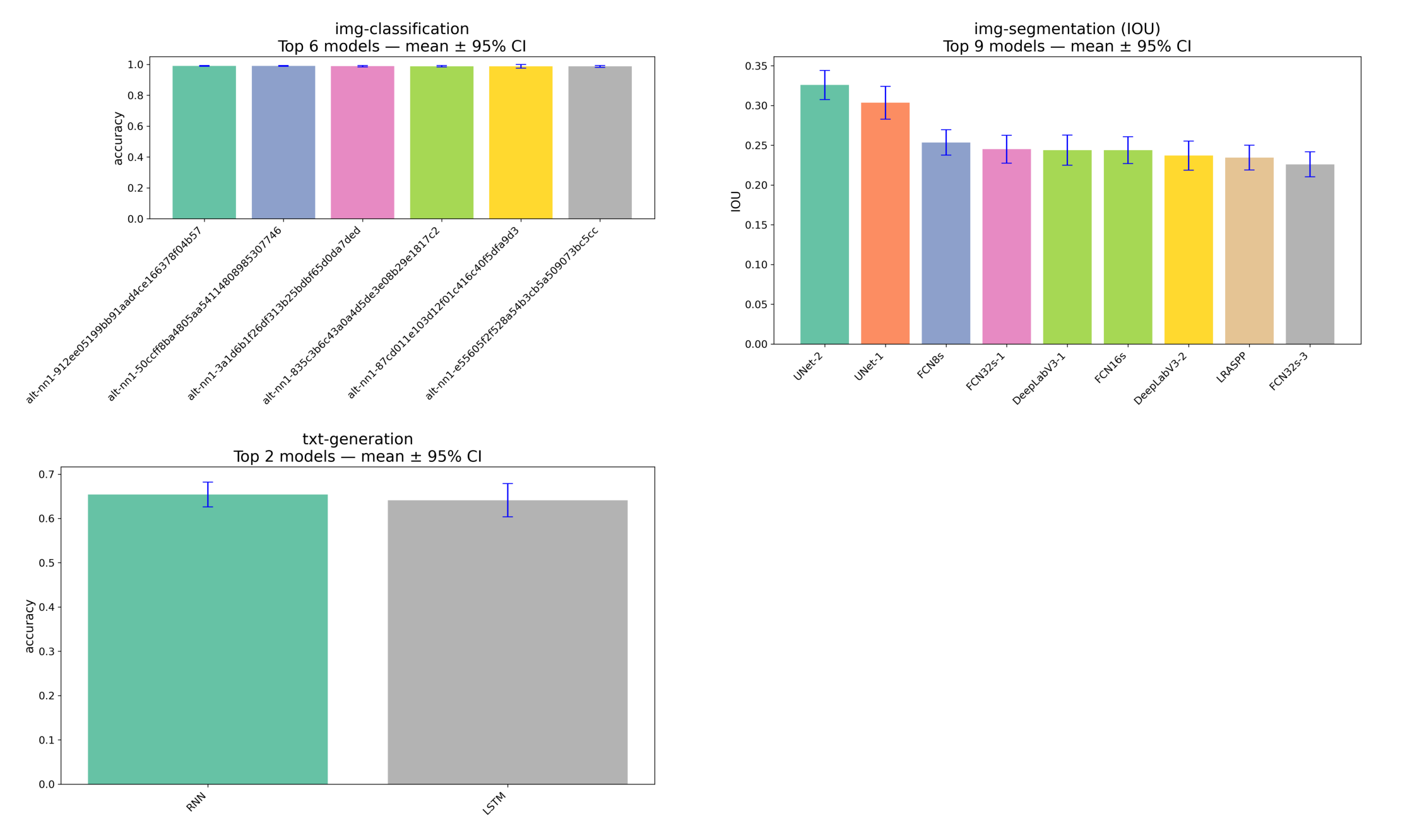
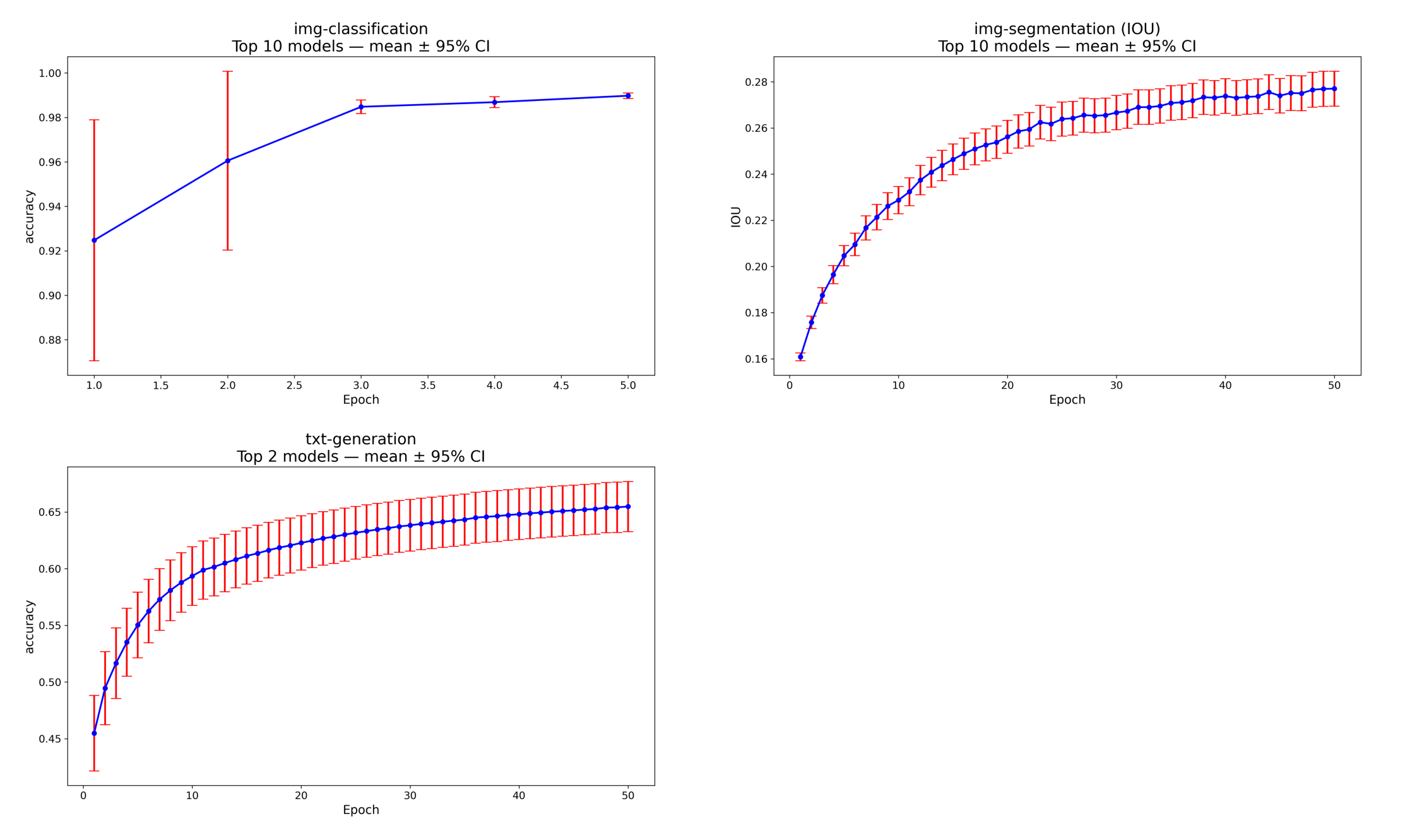
Automated conversion of LEMUR data into Excel format with statistical visualizations. It is developed to support the NN Dataset and NNGPT projects.
For Linux/Mac:
python3 -m venv .venv
source .venv/bin/activateFor Windows:
python3 -m venv .venv
.venv\Scripts\activateRun the following command to install all the project dependencies:
python -m pip install --upgrade pip
pip install -r requirements.txtpip install nn-stat[dataset]python -m ab.stat.exportData and statistics are stored in the stat directory in Excel files and PNG/SVG plots.
To use 'ab/stat/nn_analytics.ipynb' install jupyter:
pip install jupyterand run jupyter notebook:
jupyter notebook --notebook-dir=.Install from GitHub to get the most recent code and statistics updates:
rm -rf db
pip uninstall -y nn-dataset
pip install --no-cache-dir git+https://github.com/ABrain-One/nn-datasetInstalling the stable version:
rm -rf db
pip install nn-dataset --upgradeAll versions of this project are compatible with AI Linux and can be seamlessly executed within the AI Linux Docker container:
docker run -v /a/mm:. abrainone/ai-linux bash -c "PYTHONPATH=/a/mm python -m ab.stat.export"Some recently added dependencies might be missing in the AI Linux. In this case, you can create a container from the Docker image abrainone/ai-linux, install the missing packages (preferably using pip install <package name>), and then create a new image from the container using docker commit <container name> <new image name>. You can use this new image locally or push it to the registry for deployment on the computer cluster.












