Skip to content

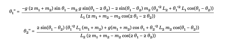
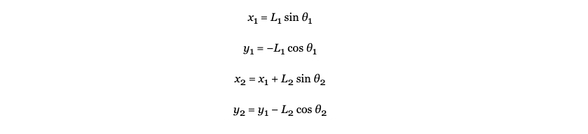
Double Pendulum Simulation using Processing4

thomasdevl/DoublePendulum

Folders and files

NameName
Last commit message
Last commit date

Latest commit

 

History

11 Commits
 
 
 
 

Repository files navigation

About

Double Pendulum Simulation using Processing4

Resources

Stars

Watchers

Forks

Releases

No releases published

Packages

No packages published