2016182041 조영환
1차 발표 ReadME
##2차 발표 ReadMe
2021-06-11.02-54-10.mp4
카드게임으로 적을 물리치면 다음 스테이지로 넘어 가는 로그라이크 형식의 게임입니다.
스테이지: 3스테이지로 구성한다.
플레이어: HP,카드 사용 비용, 경험치 바로 구성한다.
카드: 카드 비용, 카드 효과, 카드 개수를 구성한다.
몬스터: 몬스터의 경험치, 몬스터의 수, 몬스터의 공격력, 몬스터 HP를 구성한다.
선택지:Level UP을 하게 되면 카드비용 증가 또는 추가 카드 선택을 하여 플레이어가 선택할 수 있게 만든다.
깃 커밋 수 110회
실재로 진행했을 때 중간고사, 과제등으로 인하여 중간 중간 빠진 날짜가 있었습니다.
플레이어: 경험치 바 -> 경험치바 삭제 (사유: 3스테이지로 구성한 게임으로 경험치 바가 아닌 스테이지를 넘어갈 때마다 선택지를 준다)
선택지: Level UP을 하게 되면 카드비용 증가 또는 추가 카드 선택을 하여 플레이어가 선택할 수 있게 만든다. -> 추가 카드선텍 삭제 (사유: 계속 진행하고 난이도 조절을 해보다 보니 채력이 부족한 경우가 많아 클리어가 힘들다.)
draw.Line을 이용한 채력바 표현
IndexedAnimationGameBitmap
GameBitmap
ImageObject
IndexedAnimationGameBitmap
GameBitmap
ImageObject
GameObject
ArrayList를 이용한 ImageObject 추가
2중 ArrayList를 이용한 Card 정보 저장
2중 ArrayList를 이용한 random Card 뽑기
몬스터,플레이어 턴 구분
스테이지 추가 카드 이미지 애니메이션
BGM,효과음 추가를 못했다는것 에 대한 아쉬움 -> 코드가 꼬여서 수정하려면 많은 시간이 필요하다.
타이틀 화면
애니메이션 추가, 타이틀화면 , BGM,효과음 추가,랜덤 시드,더 많은 적들 등
다시 시작시 몬스터의 위치가 변경되서 다시 시작된다.
카드의 애니메이션 효과 (제작 실패)
카드의 애니메이션 효과 (제작 실패)
각각 다른 마우스 이벤트 문제 (카드 클릭, 턴 종료 클릭, 선택지)
KakaoTalk_20210611_032259702.convert-video-online.com.mp4
플레이 재미도 5 (높을수록 재미있음)
부족한점 5 (높을수록 부족함)
난이도 7 (높을수록 어려움)
마켓 출시때 설치할 가능성 1
아쉬운점 5 (높을수록 아쉬움)
타이틀 화면 구성 및 버튼 구성 50% 리소스 수집 및 리소스 수정 100% 스테이지 제작 33% 플레이어 제작 80% 몬스터 제작 50% 카드 제작 80% 턴 종료 제작 50% 선택지 제작 0% 사운드(리소스는 있음) 0%
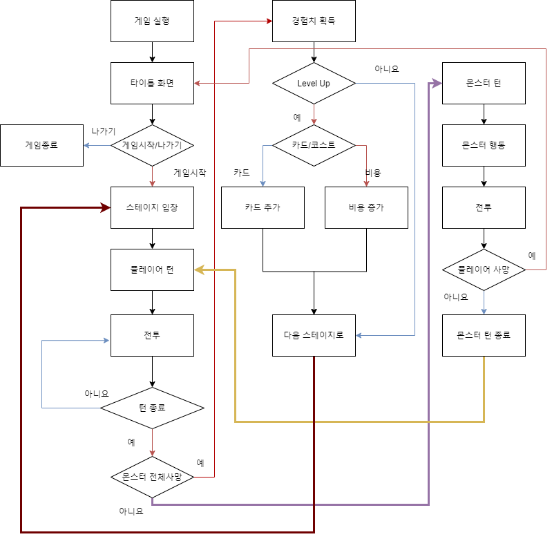
코드 구조
Main Game - 모든오브젝트들을 업데이트하고 결과처리를 합니다. Card - 카드를 보여주고 카드결과처리한 상태를 플레이어에게 넘겨줍니다 Cost - 플레이어가 사용할 수 있는 비용을 보여주고 카드를 사용하면 플레이어의 비용을 줄입니다. Monster- 몬스터를 보여주고 행동합니다. Turn - 플레이어가 턴을 넘기면 Cost와 Card를 초기화 합니다.
발표 영상: https://www.youtube.com/watch?v=K2AhkpIGm8g&ab_channel=%EB%8F%84%EC%B9%98
게임 컨셉 High Concept: RPG와 카드 덱 빌딩을 한번에 플레이어와 몬스터가 턴제로 대결하는 PVE 카드 구성과 Level을 통한 전략 구성 스테이지에 따른 로그라이크 게임
핵심 기술: RPG요소인 Level과 카드 를 추가하는 형식으로 덱을 직접 짤 수 있게 만드는 요소이다. PVE 형식으로 몬스터를 죽인다 -> Level Up 을 한다-> 카드 또는 카드 사용 비용을 증가 시키는 선택지를 주게 된다.
개발범위 스테이지: 3스테이지로 구성한다. 플레이어: HP,카드 사용 비용, 경험치 바로 구성한다. 카드: 카드 비용, 카드 효과, 카드 개수를 구성한다. 몬스터: 몬스터의 경험치, 몬스터의 수, 몬스터의 공격력, 몬스터 HP를 구성한다. 선택지:Level UP을 하게 되면 카드비용 증가 또는 추가 카드 선택을 하여 플레이어가 선택할 수 있게 만든다.
게임화면 스크린샷
#1차 발표 https://youtu.be/lapSCck-PzU
게임 컨셉 High Concept: RPG와 카드 덱 빌딩을 한번에 플레이어와 몬스터가 턴제로 대결하는 PVE 카드 구성과 Level을 통한 전략 구성 스테이지에 따른 로그라이크 게임
핵심 기술: RPG요소인 Level과 카드 를 추가하는 형식으로 덱을 직접 짤 수 있게 만드는 요소이다. PVE 형식으로 몬스터를 죽인다 -> Level Up 을 한다-> 카드 또는 카드 사용 비용을 증가 시키는 선택지를 주게 된다.
개발범위 스테이지: 3스테이지로 구성한다. 플레이어: HP,카드 사용 비용, 경험치 바로 구성한다. 카드: 카드 비용, 카드 효과, 카드 개수를 구성한다. 몬스터: 몬스터의 경험치, 몬스터의 수, 몬스터의 공격력, 몬스터 HP를 구성한다. 선택지:Level UP을 하게 되면 카드비용 증가 또는 추가 카드 선택을 하여 플레이어가 선택할 수 있게 만든다.













