1. Project based on ebay auction data. Predicting Closing Price as well as the probability of an auction ending with a sale or not.
- Linear Regression
- Random Forests Reggresor
- Logistic Regression
- kNN Classifier
Model summary:
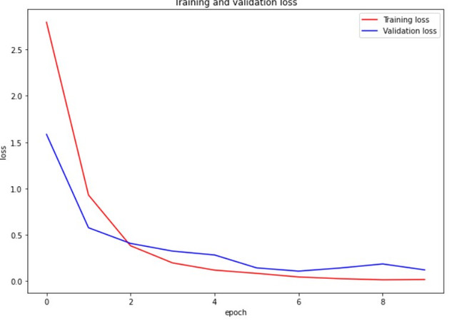
Training and validation loss:

