##library(dplyr)
##library(ClusterR)
##library(mclust)
##library(stats)
For More Info Connect with me through the link
Here a picture of a data.frame with the final output of the model just labelling each product
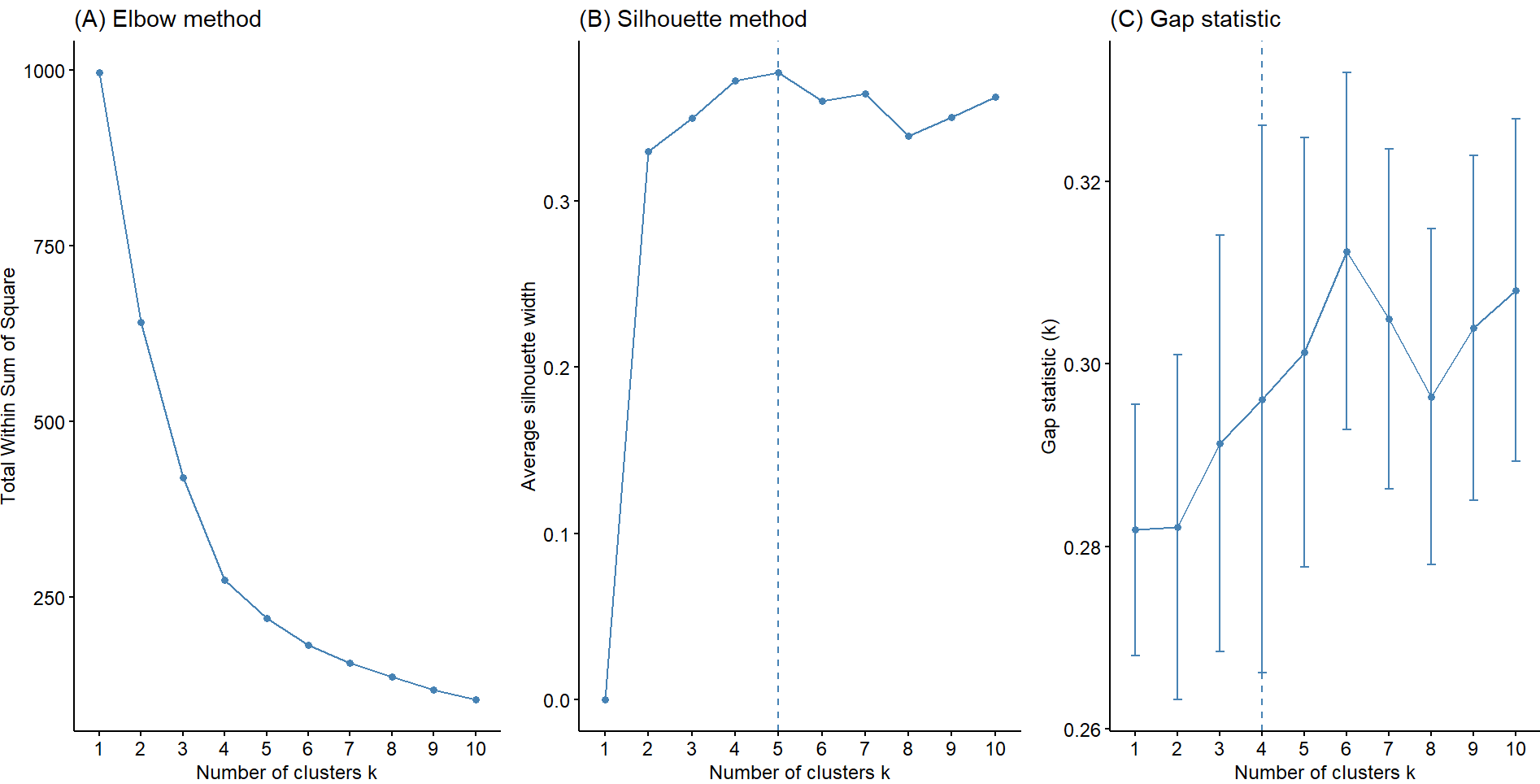
Here a picture of the evaluation of how many clusters I should have based on those 500 different SKUs
Here a picture of each cluster
*Main goal of the project is to create a rational to reduce the packaging taking into account number of items solds and margin per SKU. Here for instance all the items in cluster 2 possibly could be used to reduce the packaging to improve margin.
Thank you 🙏


