Optionally get rid of intermediary boxes in visualize, and add more labels#5976
Merged
jrbourbeau merged 5 commits intodask:masterfrom Mar 6, 2020
Merged
Optionally get rid of intermediary boxes in visualize, and add more labels#5976jrbourbeau merged 5 commits intodask:masterfrom
jrbourbeau merged 5 commits intodask:masterfrom
Conversation
Member
Author
|
@quasiben since we were talking about this at the dask meeting. |
Member
TomAugspurger
left a comment
There was a problem hiding this comment.
Thanks, this looks really nice.
Do you have an example of collapse removing an unconnected box? Or is it in the examples you posted and I just missed it?
Member
|
CI failure is just #5972, which I haven't had any luck with yet. |
Member
Author
|
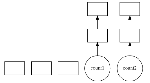
I added an unconnected nodes example to the first comment. |
Member
|
Great, thanks. I pushed a commit merging master, which should make the CI failure go away. |
TomAugspurger
approved these changes
Mar 6, 2020
Member
TomAugspurger
left a comment
There was a problem hiding this comment.
Merging later today if there aren't any objections.
jrbourbeau
approved these changes
Mar 6, 2020
Member
Author
|
Thanks! |
Member
Author
|
I'll redo #5928 once this is in :) |
Member
|
Thanks @jsignell! |
2 tasks
This file contains hidden or bidirectional Unicode text that may be interpreted or compiled differently than what appears below. To review, open the file in an editor that reveals hidden Unicode characters.
Learn more about bidirectional Unicode characters
Sign up for free
to join this conversation on GitHub.
Already have an account?
Sign in to comment
Add this suggestion to a batch that can be applied as a single commit.This suggestion is invalid because no changes were made to the code.Suggestions cannot be applied while the pull request is closed.Suggestions cannot be applied while viewing a subset of changes.Only one suggestion per line can be applied in a batch.Add this suggestion to a batch that can be applied as a single commit.Applying suggestions on deleted lines is not supported.You must change the existing code in this line in order to create a valid suggestion.Outdated suggestions cannot be applied.This suggestion has been applied or marked resolved.Suggestions cannot be applied from pending reviews.Suggestions cannot be applied on multi-line comments.Suggestions cannot be applied while the pull request is queued to merge.Suggestion cannot be applied right now. Please check back later.
black dask/flake8 daskThis PR adds the
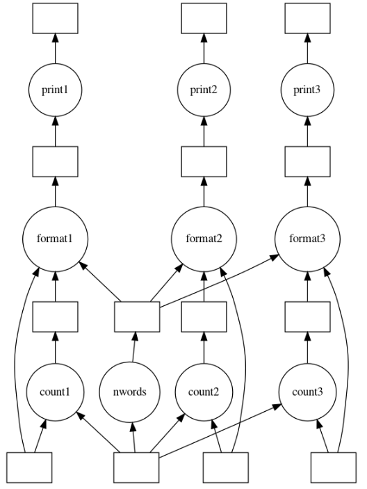
collapseandverboseoptions tovisualize. Collapse gets rid of all non-connected non-task boxes as well as any boxes that are just the output of a task that feeds into other tasks. Verbose adds a label to all the boxes even if the label is a duplicate.This came up in #5928. Here are some images of what the new graphs from that page would look like:
With lots of intermediary outputs
With unconnected nodes