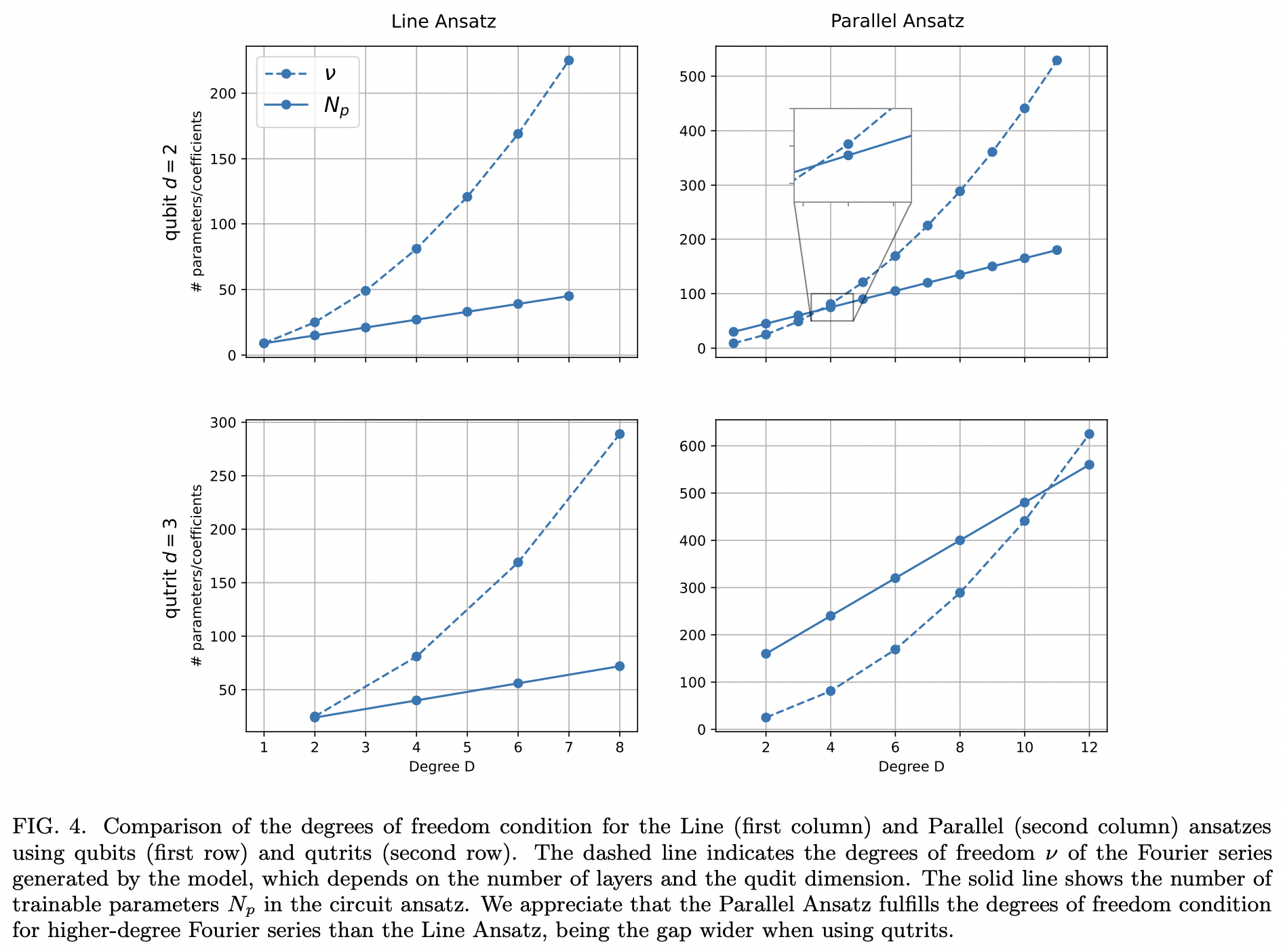
# 論文概要 多次元Fourier級数をフィッティングする量子手法を研究。このような関数フィッティングに必要な自由度は、回路が生成するHilbert空間内の自由度よりも早く成長することを発見した。量子モデルはFourier級数を表現する十分な自由度を持たない? # 論文を理解する上で重要な図など <img width="953" alt="Screen Shot 2023-02-08 at 4 12 45 PM" src="https://user-images.githubusercontent.com/32871721/217680424-f6d7a1ad-b776-4c81-ba20-93ad45ece3d1.png"> <img width="469" alt="Screen Shot 2023-02-08 at 4 12 59 PM" src="https://user-images.githubusercontent.com/32871721/217680429-1e46c2bf-1575-482e-8e00-67ae8317c9c0.png"> <img width="946" alt="Screen Shot 2023-02-08 at 4 13 08 PM" src="https://user-images.githubusercontent.com/32871721/217680436-2c5ae5e2-5274-4c3c-9d99-33a1fbf0110b.png"> <img width="466" alt="Screen Shot 2023-02-08 at 4 13 18 PM" src="https://user-images.githubusercontent.com/32871721/217680439-5d6a19d2-1bef-431a-a4c9-c8ac2b9f829e.png"> # 論文リンク [https://arxiv.org/abs/2302.03389](https://t.co/15bthU1hAq)