¿Cuánto tiempo has pasado mirando Netflix?, esta pregunta me la hice hace un par de días, soy usuario de esta plataforma hace 1 año, y me comencé a preguntar cuanto tiempo he invertido en ella, de esta manera podria analizar que episodios son los más vistos o incluso que usuario le dedica más tiempo a Netflix.
Requerimientos:
- Python
- Pandas
- Matplotlib
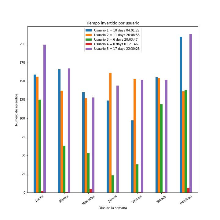
- ¿Qué usuario ha invertido el mayor tiempo dentro de la plataforma?
- ¿Cuáles episodios o películas son las más vistas por todos los usuarios?
Peliculas o episodios mas vistos por el usuario número 5.
Leer blog completo : https://sergiorubiano.medium.com/analice-sus-datos-personales-de-netflix-con-python-bf73f671f1cd



