In this project I applied my knowledge of Machine Learning to predict binary sentiment of customers of a Restaurant and trained it on 800 reviews and tested it on 200 reviews .
In this project I faced a challenge to select the correct Naive Bayes Model .I tried the classic ones like The
and
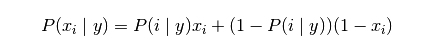
but , I finally found that using 600 max_features and Using Bernoulli's Naive Bayes gives me the best result :
" there may be multiple features but each one is assumed to be a binary-valued (Bernoulli, boolean) variable. Therefore, this class requires samples to be represented as binary-valued feature vectors; if handed any other kind of data, a BernoulliNB instance may binarize its input (depending on the binarize parameter). " - Scikit learn Docs
Check License.


