Skip to content

php分词 计算两个文本的相似度

Notifications You must be signed in to change notification settings

xude2019/wordAnalysis

 
 

Folders and files

NameName
Last commit message
Last commit date

Latest commit

 

History

5 Commits
 
 
 
 
 
 
 
 
 
 
 
 

Repository files navigation

wordAnalysis

php分词 计算两个文本的相似度

1、分词 phpanalysis.class.php

2、获取文本相似度(余弦定理) textSimilarity.class.php

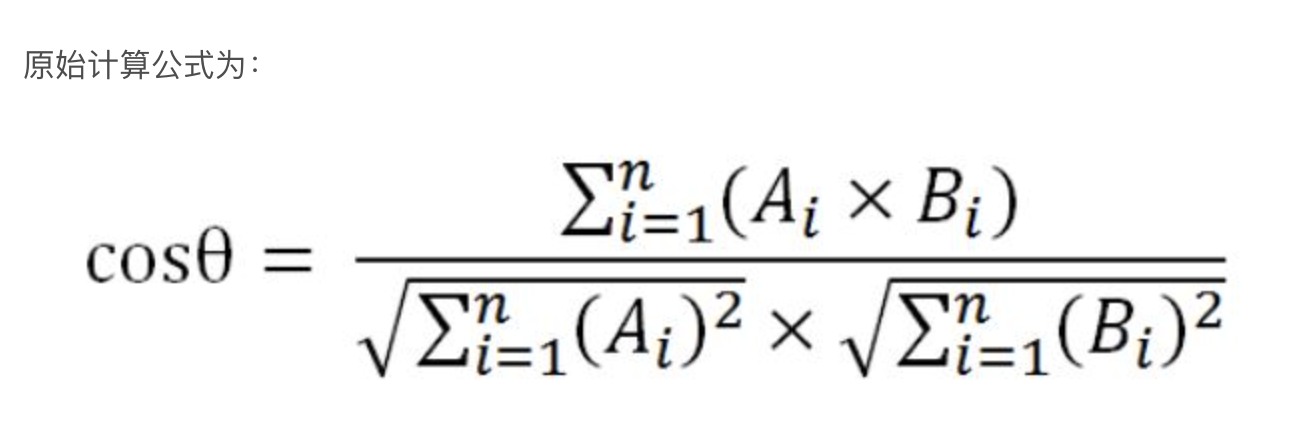
计算相似度公式

截屏2022-09-17 下午5 56 23

3、使用参考 index.php

注意以上文件的引用路径(根据实际项目修改)

About

php分词 计算两个文本的相似度

Resources

Stars

Watchers

Forks

Releases

No releases published

Packages

No packages published

Languages

  • PHP 100.0%