-
Notifications
You must be signed in to change notification settings - Fork 97
Add MSG_TEL_SV: per-SV telemetry message [POS-913] #1290
New issue
Have a question about this project? Sign up for a free GitHub account to open an issue and contact its maintainers and the community.
By clicking “Sign up for GitHub”, you agree to our terms of service and privacy statement. We’ll occasionally send you account related emails.
Already on GitHub? Sign in to your account
Conversation
This main thing we're looking for is changes in the wire format of a message (e.g. the number of bytes in a message and/or the format of the bytes in the message). Some discussion on the issues is part of this doc: https://swift-nav.atlassian.net/l/cp/XCuWGumf. Adding a new message does not affect API compatibility from an SBP message perspective. |
silverjam
left a comment
There was a problem hiding this comment.
Choose a reason for hiding this comment
The reason will be displayed to describe this comment to others. Learn more.
@ismolyakov I don't see an update to sbp.pdf -- we might need to add telemetry.yaml to the pdf doc generation commands
| desc: Flags to identify Starling component the telemetry is reported from. | ||
| fields: | ||
| - 0-7: | ||
| desc: Starling component | ||
| values: |
There was a problem hiding this comment.
Choose a reason for hiding this comment
The reason will be displayed to describe this comment to others. Learn more.
In the design doc this is named Filter type instead of Starling component. Why was this changed? It seems very product name specific. I'd suggest keeping the more generic form.
There was a problem hiding this comment.
Choose a reason for hiding this comment
The reason will be displayed to describe this comment to others. Learn more.
My thinking for using standalone and differential was to keep the names generic and not to include Starling-specific filter names (SPP, RTK and other) since the names are customer-facing.
No strong opinion here though, would you prefer SPP and RTK better @richarddeurloo ?
There was a problem hiding this comment.
Choose a reason for hiding this comment
The reason will be displayed to describe this comment to others. Learn more.
My comment was not about the values, but about the descriptions. I would not include the word Starling in there. My suggestions would be:
| desc: Flags to identify Starling component the telemetry is reported from. | |
| fields: | |
| - 0-7: | |
| desc: Starling component | |
| values: | |
| desc: Flags to identify the filter type from which the telemetry is reported. | |
| fields: | |
| - 0-7: | |
| desc: Filter type: | |
| values: |
There was a problem hiding this comment.
Choose a reason for hiding this comment
The reason will be displayed to describe this comment to others. Learn more.
makes total sense, thank you for clarification!
reimerix
left a comment
There was a problem hiding this comment.
Choose a reason for hiding this comment
The reason will be displayed to describe this comment to others. Learn more.
LGTM! Just some questions and non-blocking suggestions.
| fields: | ||
| - az: | ||
| type: u8 | ||
| units: deg * 2g |
There was a problem hiding this comment.
Choose a reason for hiding this comment
The reason will be displayed to describe this comment to others. Learn more.
Typo? Should this be deg * 2?
There was a problem hiding this comment.
Choose a reason for hiding this comment
The reason will be displayed to describe this comment to others. Learn more.
yes, it is indeed deg * 2: already corrected!
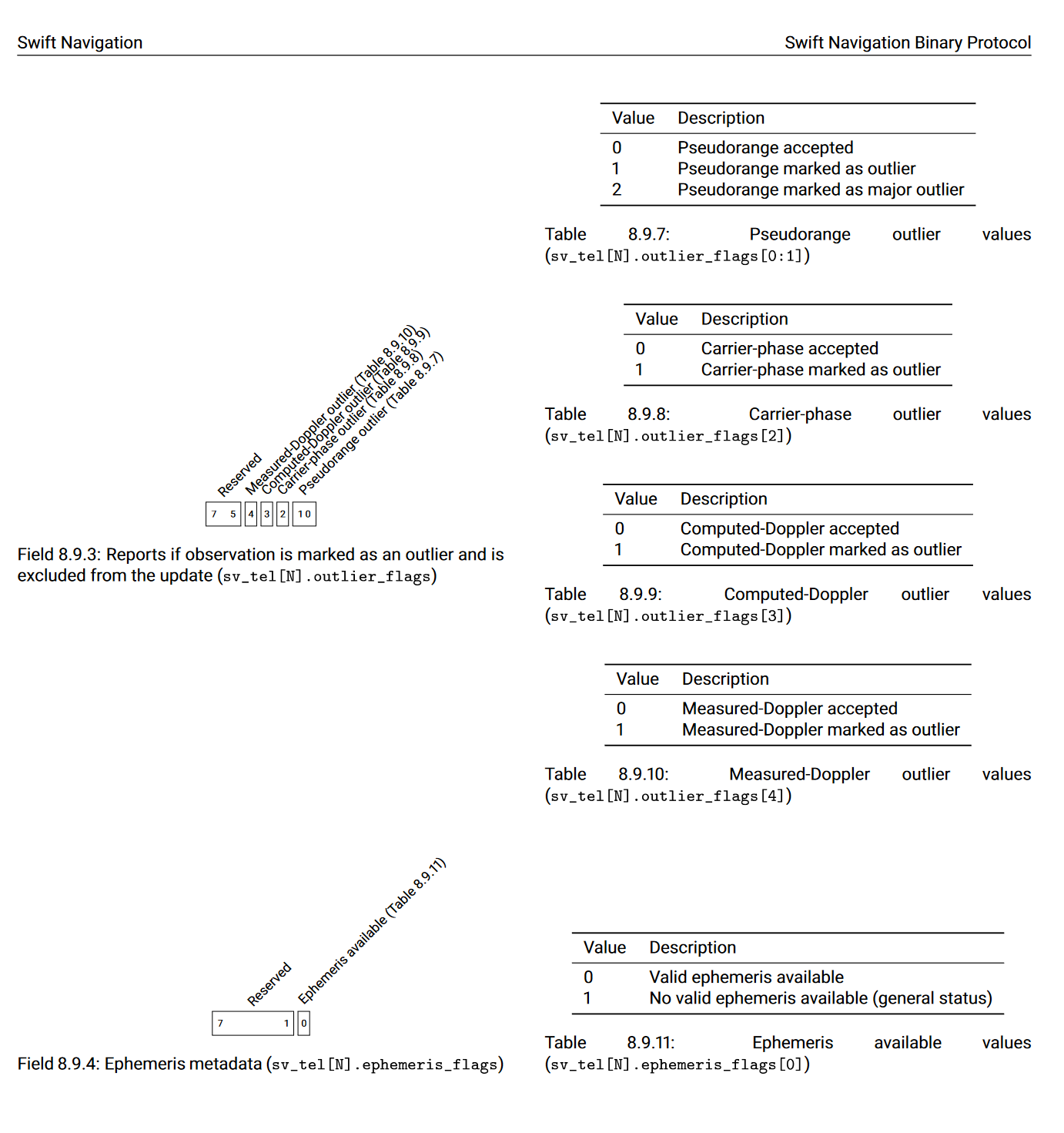
| desc: Observation availability at filter update | ||
| fields: | ||
| - 3-7: | ||
| desc: Reserved |
There was a problem hiding this comment.
Choose a reason for hiding this comment
The reason will be displayed to describe this comment to others. Learn more.
Should we add a bit for measured Doppler as well?
| - pseudorange_residual: | ||
| type: s16 | ||
| units: 1 dm | ||
| desc: Pseudorange observation residual |
There was a problem hiding this comment.
Choose a reason for hiding this comment
The reason will be displayed to describe this comment to others. Learn more.
Should we have a field for doppler residuals too?
There was a problem hiding this comment.
Choose a reason for hiding this comment
The reason will be displayed to describe this comment to others. Learn more.
@reimerix , as of now, I am proposing to use phase_residual as one field for both computed-Doppler and carrier-phase since they are (currently) never output from the same filter.
An alternative is to have two additional s16 fields for measured and computed Doppler. This is more robust to future Starling architecture changes, but will increase the message size. How concerning is to add two s16 fields from bandwidth point of view?
| fields: | ||
| - 3-7: | ||
| desc: Reserved | ||
| - 0-2: | ||
| desc: Reason for ephemeris invalidity | ||
| values: | ||
| - 0: Valid | ||
| - 1: Invalid (general status, to be extended) |
There was a problem hiding this comment.
Choose a reason for hiding this comment
The reason will be displayed to describe this comment to others. Learn more.
How about this instead?
| fields: | |
| - 3-7: | |
| desc: Reserved | |
| - 0-2: | |
| desc: Reason for ephemeris invalidity | |
| values: | |
| - 0: Valid | |
| - 1: Invalid (general status, to be extended) | |
| fields: | |
| - 1-7: | |
| desc: Reserved | |
| - 0: | |
| desc: Ephemeris available | |
| values: | |
| - 0: Valid ephemeris available | |
| - 1: No valid ephemeris available (general status, to be extended in reserved fields) |
1b1bf3e to
8121add
Compare
@silverjam my bad, it is now generated after running |
silverjam
left a comment
There was a problem hiding this comment.
Choose a reason for hiding this comment
The reason will be displayed to describe this comment to others. Learn more.
To satisfy test coverage requirements, please add a new test vector to spec/tests/yaml/swiftnav/sbp/telemetry/test_MsgTelSv.yaml (will need to create a new directory).
See the section on "New messages" in HOWTO.md:
…into ivan/po-905/msg-tel-sv
|
I am experiencing a failure in @silverjam do you see anything immediately wrong with my generated |
trying to add |
Adding |
it did! just waiting for hopefully one last |
|
Thank you everyone for the comments and help! Merging as Benchmark stage fails in a similar way as the latest commits in |





Description
@swift-nav/devinfra
Related PRs
API compatibility
Upd: no risk to API compatibility as it is a new message, no existing fields are modified.
API compatibility plan
n/a
JIRA Reference
https://swift-nav.atlassian.net/browse/POS-913