-
Notifications
You must be signed in to change notification settings - Fork 1.2k
Implement circuit_to_latex_using_qcircuit #295
New issue
Have a question about this project? Sign up for a free GitHub account to open an issue and contact its maintainers and the community.
By clicking “Sign up for GitHub”, you agree to our terms of service and privacy statement. We’ll occasionally send you account related emails.
Already on GitHub? Sign in to your account
Conversation
- Find all places where docs/code says "ASCII" and replace it with "text" as appropriate - Split to_text_diagram_drawer out of circuit.to_text_diagram - Rename ascii_wire_symbols to text_diagram_wire_symbols - Rename ascii_exponent to text_diagram_exponent - Add optional qubit_count argument to text_diagram_wire_symbols - Add optional use_unicode_characters argument to text_diagram_wire_symbols - Remove unused XmonQubit try_parse_from_text method
|
Nice |
# Conflicts: # cirq/circuits/circuit.py
| for moment in circuit.moments) | ||
|
|
||
|
|
||
| def circuit_to_latex_using_qcircuit( |
There was a problem hiding this comment.
Choose a reason for hiding this comment
The reason will be displayed to describe this comment to others. Learn more.
I might just do circuit_to_latex. If we want to support something other than qcircuit we could pass some sort of type in to this to distiguish
There was a problem hiding this comment.
Choose a reason for hiding this comment
The reason will be displayed to describe this comment to others. Learn more.
I also think that could be nice; but I'll wait until we have other supported formats before amalgamating.
|
it's just a really long method name
…On Mon, Apr 16, 2018 at 3:02 PM, Craig Gidney ***@***.***> wrote:
Merged #295 <#295>.
—
You are receiving this because you commented.
Reply to this email directly, view it on GitHub
<#295 (comment)>, or mute
the thread
<https://github.com/notifications/unsubscribe-auth/AAFXproJM9-QrHEZjHSYOqL9wfLa1oNgks5tpRUCgaJpZM4TPRYj>
.
|
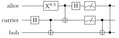
Comes after #293
Example rendered output: