Possible bug with estimate_grouplevel() for brms model#431
Possible bug with estimate_grouplevel() for brms model#431strengejacke merged 18 commits intomainfrom
Conversation
|
Here's the current implementation: library(modelbased)
# lme4 model
data(mtcars)
model <- lme4::lmer(mpg ~ hp + (1 | carb), data = mtcars)
estimate_grouplevel(model)
#> Group | Level | Parameter | Coefficient | SE | 95% CI
#> ----------------------------------------------------------------
#> carb | 1 | (Intercept) | 0.41 | 0.84 | [-1.24, 2.05]
#> carb | 2 | (Intercept) | 0.11 | 0.78 | [-1.42, 1.65]
#> carb | 3 | (Intercept) | -0.32 | 0.94 | [-2.16, 1.51]
#> carb | 4 | (Intercept) | -0.78 | 0.78 | [-2.31, 0.75]
#> carb | 6 | (Intercept) | 0.09 | 1.00 | [-1.87, 2.05]
#> carb | 8 | (Intercept) | 0.50 | 1.00 | [-1.47, 2.46]
estimate_grouplevel(model, type = "total")
#> Group | Level | Parameter | Coefficient
#> -----------------------------------------
#> carb | 1 | (Intercept) | 30.18
#> carb | 2 | (Intercept) | 29.88
#> carb | 3 | (Intercept) | 29.45
#> carb | 4 | (Intercept) | 28.99
#> carb | 6 | (Intercept) | 29.87
#> carb | 8 | (Intercept) | 30.27
model <- insight::download_model("brms_sigma_3")
estimate_grouplevel(model)
#> Component | Group | Level | Parameter | Median | 95% CI
#> ---------------------------------------------------------------------
#> conditional | Group | G1 | Intercept | 1.12 | [-0.65, 5.70]
#> conditional | Group | G1 | Petal.Width | -9.46e-03 | [-1.01, 0.94]
#> conditional | Group | G2 | Intercept | -0.57 | [-2.46, 3.64]
#> conditional | Group | G2 | Petal.Width | 0.07 | [-0.80, 0.94]
#> conditional | Group | G3 | Intercept | -0.45 | [-2.31, 4.13]
#> conditional | Group | G3 | Petal.Width | -0.14 | [-1.21, 0.52]
#> sigma | Group | G1 | Intercept | 0.15 | [-1.05, 1.64]
#> sigma | Group | G1 | Petal.Width | 0.01 | [-1.06, 1.62]
#> sigma | Group | G2 | Intercept | -0.18 | [-1.84, 0.92]
#> sigma | Group | G2 | Petal.Width | -0.01 | [-1.19, 1.21]
#> sigma | Group | G3 | Intercept | -0.06 | [-1.57, 1.60]
#> sigma | Group | G3 | Petal.Width | -0.04 | [-1.29, 1.02]
estimate_grouplevel(model, type = "total")
#> Component | Group | Level | Parameter | Median | 95% CI
#> -------------------------------------------------------------------
#> conditional | Group | G1 | Intercept | 3.22 | [ 2.99, 3.44]
#> conditional | Group | G1 | Petal.Width | 0.83 | [ 0.06, 1.69]
#> conditional | Group | G2 | Intercept | 1.49 | [ 0.97, 1.94]
#> conditional | Group | G2 | Petal.Width | 0.96 | [ 0.62, 1.35]
#> conditional | Group | G3 | Intercept | 1.62 | [ 1.04, 2.22]
#> conditional | Group | G3 | Petal.Width | 0.67 | [ 0.38, 0.95]
#> sigma | Group | G1 | Intercept | -1.04 | [-1.42, -0.71]
#> sigma | Group | G1 | Petal.Width | 0.16 | [-0.81, 1.63]
#> sigma | Group | G2 | Intercept | -1.51 | [-2.71, -0.62]
#> sigma | Group | G2 | Petal.Width | 0.08 | [-0.57, 0.97]
#> sigma | Group | G3 | Intercept | -1.32 | [-2.54, -0.29]
#> sigma | Group | G3 | Petal.Width | 0.02 | [-0.48, 0.64]
model <- insight::download_model("brms_zi_4")
estimate_grouplevel(model)
#> Component | Group | Level | Parameter | Median | 95% CI
#> ----------------------------------------------------------------------
#> conditional | ID | 1 | Intercept | -0.23 | [ -1.16, 0.79]
#> conditional | ID | 1 | zg | 0.16 | [ -0.01, 0.32]
#> conditional | ID | 2 | Intercept | -0.15 | [ -0.98, 0.86]
#> conditional | ID | 2 | zg | 0.25 | [ 0.09, 0.41]
#> conditional | ID | 3 | Intercept | 0.14 | [ -0.74, 1.15]
#> conditional | ID | 3 | zg | 0.08 | [ -0.05, 0.23]
#> conditional | ID | 4 | Intercept | -0.65 | [ -1.55, 0.36]
#> conditional | ID | 4 | zg | 0.37 | [ 0.28, 0.45]
#> conditional | persons | 1 | Intercept | -0.76 | [ -3.22, 1.04]
#> conditional | persons | 1 | xb | 1.57 | [ 1.17, 1.99]
#> conditional | persons | 2 | Intercept | -0.40 | [ -2.78, 1.37]
#> conditional | persons | 2 | xb | 1.30 | [ 1.10, 1.48]
#> conditional | persons | 3 | Intercept | -0.57 | [ -3.06, 1.23]
#> conditional | persons | 3 | xb | 1.32 | [ 1.14, 1.51]
#> conditional | persons | 4 | Intercept | 0.51 | [ -1.82, 2.35]
#> conditional | persons | 4 | xb | 0.89 | [ 0.79, 0.98]
#> zero_inflated | ID | 1 | Intercept | -2.04 | [-16.78, 2.35]
#> zero_inflated | ID | 1 | nofish1 | -0.17 | [ -6.88, 3.39]
#> zero_inflated | ID | 1 | zg | -7.23 | [-25.28, -1.96]
#> zero_inflated | ID | 2 | Intercept | -3.46 | [-25.28, 0.86]
#> zero_inflated | ID | 2 | nofish1 | -0.23 | [ -5.31, 2.32]
#> zero_inflated | ID | 2 | zg | -5.33 | [-16.05, -1.84]
#> zero_inflated | ID | 3 | Intercept | -3.46 | [-22.62, 1.15]
#> zero_inflated | ID | 3 | nofish1 | -0.14 | [ -6.21, 3.03]
#> zero_inflated | ID | 3 | zg | -7.13 | [-21.74, -2.65]
#> zero_inflated | ID | 4 | Intercept | -3.40 | [-21.72, 0.87]
#> zero_inflated | ID | 4 | nofish1 | -0.08 | [ -4.47, 4.18]
#> zero_inflated | ID | 4 | zg | -3.74 | [-13.44, -0.83]
estimate_grouplevel(model, type = "total")
#> Component | Group | Level | Parameter | Median | 95% CI
#> --------------------------------------------------------------------
#> conditional | ID | 1 | Intercept | -0.89 | [ -2.70, 1.48]
#> conditional | ID | 1 | zg | 0.16 | [ -0.01, 0.32]
#> conditional | ID | 2 | Intercept | -0.81 | [ -2.59, 1.61]
#> conditional | ID | 2 | zg | 0.25 | [ 0.09, 0.41]
#> conditional | ID | 3 | Intercept | -0.53 | [ -2.28, 1.86]
#> conditional | ID | 3 | zg | 0.08 | [ -0.05, 0.23]
#> conditional | ID | 4 | Intercept | -1.32 | [ -3.15, 1.09]
#> conditional | ID | 4 | zg | 0.37 | [ 0.28, 0.45]
#> conditional | persons | 1 | Intercept | -1.45 | [ -2.56, -0.41]
#> conditional | persons | 1 | xb | 1.57 | [ 1.17, 1.99]
#> conditional | persons | 2 | Intercept | -1.07 | [ -2.15, -0.11]
#> conditional | persons | 2 | xb | 1.30 | [ 1.10, 1.48]
#> conditional | persons | 3 | Intercept | -1.27 | [ -2.33, -0.26]
#> conditional | persons | 3 | xb | 1.32 | [ 1.14, 1.51]
#> conditional | persons | 4 | Intercept | -0.13 | [ -1.20, 0.74]
#> conditional | persons | 4 | xb | 0.89 | [ 0.79, 0.98]
#> zi | ID | 1 | Intercept | -5.98 | [-22.84, 0.57]
#> zi | ID | 1 | zg | -7.23 | [-25.28, -1.96]
#> zi | ID | 2 | Intercept | -7.43 | [-29.46, -0.72]
#> zi | ID | 2 | nofish1 | -0.23 | [ -5.31, 2.32]
#> zi | ID | 3 | Intercept | -7.23 | [-28.82, 0.27]
#> zi | ID | 3 | zg | -7.13 | [-21.74, -2.65]
#> zi | ID | 4 | Intercept | -7.13 | [-30.06, 0.16]
#> zi | ID | 4 | nofish1 | -0.08 | [ -4.47, 4.18]
#> zi | persons | 1 | Intercept | -3.56 | [-14.59, 4.05]
#> zi | persons | 2 | Intercept | -3.56 | [-14.59, 4.05]
#> zi | persons | 3 | Intercept | -3.56 | [-14.59, 4.05]
#> zi | persons | 4 | Intercept | -3.56 | [-14.59, 4.05]Created on 2025-03-04 with reprex v2.1.1 |
This comment was marked as outdated.
This comment was marked as outdated.
|
Rather than making a special case in visualization_recipe_internal to accommodate no CIs, how about in |
This comment was marked as outdated.
This comment was marked as outdated.
Were just minor changes. You can still refactor, if you like. |
This comment was marked as outdated.
This comment was marked as outdated.
|
It's fine :) thanks |
|
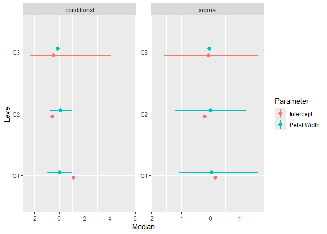
Plots are not fully working, we need to split by |
library(modelbased)
data(mtcars)
model <- lme4::lmer(mpg ~ hp + (1 | carb), data = mtcars)
estimate_grouplevel(model) |> plot()estimate_grouplevel(model, type = "total") |> plot()
#> Warning: Removed 6 rows containing missing values or values outside the scale range
#> (`geom_segment()`).model <- insight::download_model("brms_sigma_3")
estimate_grouplevel(model) |> plot()estimate_grouplevel(model, type = "total") |> plot()Created on 2025-03-04 with reprex v2.1.1 |
library(modelbased)
model <- insight::download_model("brms_zi_4")
estimate_grouplevel(model) |> plot()estimate_grouplevel(model, type = "total") |> plot()Created on 2025-03-04 with reprex v2.1.1 |
|
Ok, plotting should work. Still to do: the final decision on the argument option for I still prefer |
Yeah in general I'm not a fan of underscores, but in this case it's warranted:
That said, in modelbased, because the function is already only about random effects, it can be |






Fixes #229